- Дробово-раціональні вирази: основні визначення
- Додавання та віднімання
- Множення та ділення
- Зміна знаків. Скорочення дробів
- Як JustSmart може допомогти підготуватися до НМТ з математики?
Дробово-раціональні вирази — одна з ключових тем у шкільному курсі математики, особливо актуальна для підготовки до ЗНО. На перший погляд, вони можуть здаватися складними, але якщо розібратися у властивостях і методах роботи з такими виразами, завдання стають цілком зрозумілими. У цій від фахівців онлайн-школи для дітей та підлітків JustSmart статті ми розглянемо правила, приклади та основні методи роботи з дробово-раціональними виразами, а також поради для підготовки до НМТ/ЗНО.
Цікаво знати:
Цікаво, що дроби у сучасному вигляді з’явилися ще в Древньому Єгипті! Там використовували лише так звані “єгипетські дроби” (дроби із чисельником 1). Сучасні ж дробово-раціональні вирази отримали своє поширення завдяки розвитку алгебри у середньовічній Європі.
Онлайн-курси підготовки до НМТ-2026 від JustSmart!
- Онлайн-заняття з досвідченими викладачами.
- Унікальні навчальні матеріали.
- Психологічні тренінги та практичні лайфхаки.
Математика часто здається абстрактною, але дробово-раціональні вирази мають багато прикладних аспектів. Наприклад:
- Економіка: обчислення податків або розрахунок пропорцій у фінансових моделях часто базується на дробово-раціональних виразах.
- Інженерія: під час проєктування конструкцій інженери працюють з раціональними функціями, щоб описати сили або навантаження на матеріали.
- Програмування: дробові вирази часто використовують в алгоритмах, які працюють із розрахунками або моделюванням реальних процесів.
Дробово-раціональні вирази: основні визначення
- Цілі вирази разом з дробовими називають раціональними виразами.
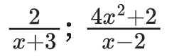
- Дріб 𝐴𝐵, де 𝐴 і 𝐵 — многочлени, називають раціональним дробом. Наприклад:

- Область допустимих значень змінних у виразі (ОДЗ) — усі такі значення змінних, при яких вираз має зміст.
- Для раціонального дробу 𝐴𝐵 допустимі значення змінної визначаються з умови 𝐵≠0 (знаменник не повинен дорівнювати 0).
Додавання та віднімання
Правила додавання та віднімання дробово-раціональних виразів з однаковими знаменниками:
- Щоб виконати додавання раціональних дробів з однаковими знаменниками, потрібно додати їхні чисельники, залишаючи знаменник незмінним.
- Для віднімання раціональних дробів з однаковими знаменниками, потрібно від чисельника зменшуваного відняти чисельник від’ємника, при цьому знаменник залишається таким самим.
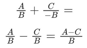
Правило додавання раціональних дробів з протилежними знаменниками:

Правило перетворення раціонального дробу в суму або різницю раціональних дробів з тим самим знаменником:

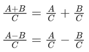
Правило додавання чи віднімання раціональних дробів з різними знаменниками:
Щоб додати раціональні дроби з різними знаменниками, треба звести їх до спільного знаменника, а потім додати їх чисельники. Спільним знаменником двох раціональних дробів може бути:
- добуток їх знаменників;
- один зі знаменників поданих дробів;
- вираз, складений з усіх різних множників знаменників.
Алгоритм додавання та віднімання раціональних дробів з різними знаменниками:
- Розклади на множники знаменники дробів, якщо це необхідно;
- Знайди спільний знаменник, бажано найменший;
- Запиши додаткові множники;
- Знайди дріб, що є сумою або різницею даних дробів;
- Спрости цей дріб та отримай відповідь.
Множення та ділення
Щоб помножити дріб на дріб, треба перемножити окремо чисельники та записати в чисельник дробу й окремо знаменники та записати в знаменник дробу.

Щоб помножити раціональний дріб на многочлен, треба чисельник дробу помножити на многочлен, а знаменник залишити той самий.
Щоб піднести дріб до степеня, треба піднести до цього степеня чисельник і знаменник і перший результат записати в чисельник, а другий — у знаменник дробу.

Щоб поділити один раціональний дріб на другий, перший дріб треба помножити на дріб, обернений до другого.
Алгоритм ділення раціонального дробу 𝐴𝐵 на дріб 𝐶𝐷:
- Замінити дію ділення на дію множення
- Дільник 𝐶𝐷 замінити на обернений дріб 𝐷𝐶
- Виконати множення дробів 𝐴𝐵 і 𝐷𝐶
Щоб поділити раціональний дріб на многочлен, треба цей многочлен помножити на знаменник дробу, а чисельник залишити без змін.
Щоб поділити многочлен на раціональний дріб, треба цей многочлен помножити на дріб, обернений до дільника.
Читайте також: Що таке одночлен, та як виглядає одночлен стандартного вигляду?
Зміна знаків. Скорочення дробів
Скорочення дробу — ділення чисельника і знаменника на спільний множник.
Аби скоротити раціональний дріб, спочатку треба чисельник та знаменник розкласти на множники. Скоротити спільний множник.

Робота з дробово-раціональними виразами може бути простою, якщо зрозуміти основні правила і регулярно практикуватися. Володіння цією темою не тільки полегшить підготовку до НМТ, але й сприятиме глибшому розумінню алгебраїчних операцій. Використовуйте наведені приклади та поради для підвищення своїх знань і впевненості у цій темі.
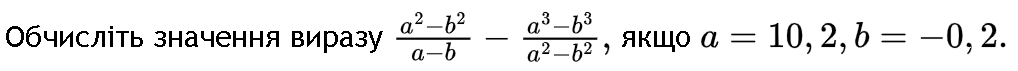
Завдання для самостійного опрацювання
1. ![]()
2. ![]()
Як JustSmart може допомогти підготуватися до НМТ з математики?
Щоб підготуватися до НМТ і глибше зрозуміти тему, радимо ефективні курси підготовки до НМТ-2026, які містять:
- Вебінари з викладачем для ґрунтовного опрацювання предметів.
- Регулярні психологічні тренінги для підтримки впевненості.
- Практичні поради та лайфхаки, щоб скласти НМТ на найвищі бали.
Також пропонуємо пройти тести НМТ з математики, що допоможе виявити слабкі місця та зосередитись на їх опрацюванні.
А на курсах математики для 1-11 класів наші викладачі допомагають будувати міцну базу знань, яка стане основою для майбутніх навчальних успіхів. Репетитор з математики онлайн — це сучасно, зручно та результативно. Замість нудних формул — практичні завдання, інтерактиви та чіткі пояснення. Наші викладачі працюють із дітьми та підлітками різного рівня, адаптуючи матеріал до індивідуальних потреб. Ми не просто навчаємо, а допомагаємо полюбити математику.
А для тих, хто бажає вдосконалити знання іноземних мов, пропонуємо заняття англійської для дітей у JustSchool.
Читайте також: Що таке степінь числа та властивості степеня?
*Відповіді до завдань для самостійного опрацювання
- –0,204
- –1,6
Усі статті
Для підлітків
Підготовка до НМТ
Статті про Roblox
Уроки математики
АвторОлександра Ляшенко