Усе про дроби та дії з дробами

7
Хвилин читання

Дроби — це важлива тема математики, з якою ми зіштовхуємося в повсякденному житті та навчанні. Вони допомагають краще розуміти й оперувати частинами цілого, хай то частина піци, час на годиннику чи відрізок на лінійці. Розуміння дробів є ключовим для успішної підготовки до Національного мультипредметного тесту (НМТ), оскільки завдання на дроби часто трапляються в тестах. Опанування цієї теми допоможе не лише впевнено почуватись під час тестування, а й зробить математику більш зрозумілою та цікавою. Досліджуймо разом, що таке дроби і як із ними працювати!

Основні поняття

Визначення та види

Дріб — це спосіб запису числа, що представляє одну чи декілька частин цілого. Він складається з двох частин: чисельника і знаменника, розділених лінією дробу.

Дроби

Звичайний дріб — це число, яке представляє частку від ділення двох цілих чисел, у вигляді .

  • Правильний дріб — той, у якого чисельник менший за знаменник. Тобто:
    .
  • Неправильний дріб — той, у якого чисельник більший за знаменник або дорівнює йому.  Тобто:
    .
  • Мішане число — складене з натурального числа (ціла частина) та звичайного дробу (дробова частина).

Знаменник і чисельник

  • Чисельником дробу називають число, записане над рискою дробу. Він показує, скільки взято частин цілого.
  • Знаменником дробу називають число, записане під рискою дробу. Він показує, на скільки частин розділили ціле.

Розуміння цих основних понять допоможе легко працювати з дробами та розв’язувати завдання.

Онлайн-курси підготовки до НМТ-2026 від JustSmart!

Допоможемо скласти іспити на 180+ та вступити до омріяного університету!
Наші курси містять:
  • Онлайн-заняття з досвідченими викладачами.
  • Унікальні навчальні матеріали.
  • Психологічні тренінги та практичні лайфхаки.
🎯 Долай навчальні труднощі разом з нами!

Онлайн-курси підготовки до НМТ-2026 від JustSmart! Онлайн-курси підготовки до НМТ-2026 від JustSmart! Онлайн-курси підготовки до НМТ-2026 від JustSmart!

Перетворення дробів

  • Мішане число завжди можна перетворити на неправильний дріб:

Потрібно помножити цілу частину на знаменник, а потім додати чисельник. Отримане число буде чисельником, а знаменник залишається тим самим.

  • З неправильного дробу завжди можна виділити цілу частину.

Неправильний дріб можна перетворити на мішане число, поділивши чисельник на знаменник. Частка від ділення стане цілою частиною, а остача — чисельником дробової частини. Знаменник залишається тим самим.

  • Зведення дробів до спільного знаменника

Найменший спільний знаменник (НСЗ) — це число, яке дорівнює найменшому спільному кратному (НСК) знаменників дробів. Для зведення дробів до найменшого спільного знаменника треба:

  • знайти найменше спільне кратне знаменників;
  • знайти додаткові множники для кожного дробу, поділивши НСК знаменників на знаменник кожного дробу;
  • чисельник і знаменник кожного дробу помножити на відповідний додатковий множник.

Наприклад, зведемо дроби 2/3 і 3/4​ до спільного знаменника:

  1. Знаходимо НСК для 3 і 4. Найменше число, яке ділиться і на 3, і на 4, — це 12.
  2. Перетворюємо кожен дріб:
    • Для 2/3 ​: множимо чисельник і знаменник на 4 (щоб отримати знаменник 12): 2⋅4 / 3⋅4=8/12
    • Для 3/4: множимо чисельник і знаменник на 3 (щоб отримати знаменник 12): 3⋅3 / 4⋅3=9/12
    • Отримані дроби: 8/12 і 9/12 тепер мають спільний знаменник 12.

Основні дії з дробами

Порівняння дробів

  • Щоб порівняти дроби з різними знаменниками, потрібно звести їх до спільного знаменника і порівняти їхні чисельники. Дріб із більшим чисельником буде відповідно більшим.
  • Зводити до однакового чисельника варто в тому випадку, коли знаменники дробів великі.
  • Для порівняння методом десяткових дробів, необхідно перетворити кожен дріб на десятковий і потім порівняти отримані результати, зокрема:
    • Поділити чисельник на знаменник для кожного дробу, щоб отримати десятковий дріб.
    • Порівняти отримані десяткові числа.

Приклад: Порівняймо дроби 3/4 і 5/6 методом десяткових дробів.

  1. Перетворення дробів на десяткові числа:
    • 3/4 = 3:4=0,75
    • 5/6 = 5:6≈0,8333
  2. Порівняння десяткових чисел:
    • 0,75 < 0,83330

Отже,  3/4  < 5/6.

Спробуйте навчання в JustSmart безкоштовно

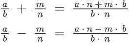
Додавання і віднімання дробів

  • Якщо обидва дроби мають спільний знаменник, тоді можемо записати їх на спільній рисці дробу:

  • Якщо дроби мають різні знаменники, тоді необхідно звести їх до спільного знаменника:

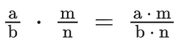
Множення та ділення

  • Щоб помножити один дріб на другий, необхідно чисельник та знаменник першого помножити на чисельник та знаменник другого дробу відповідно.

  • Ділення дробів обернене множенню (треба чисельник першого дробу помножити на знаменник другого, а знаменник першого — помножити на чисельник другого дробу).

Скорочення дробів

Скорочення дробів – це процес перетворення дробу на рівний йому дріб із меншими чисельником і знаменником, зберігаючи значення дробу незмінним. Це робиться шляхом ділення чисельника і знаменника на їхній найбільший спільний дільник (НСД).

Алгоритм скорочення дробів

  1. Знайти найбільший спільний дільник (НСД) чисельника і знаменника.
  2. Поділити чисельник і знаменник на знайдений НСД.
  3. Записати скорочений дріб.

Наприклад, скоротимо 8/12:

  1. Знайти НСД чисел 8 і 12:
  • Дільники 8: 1, 2, 4, 8.
  • Дільники 12: 1, 2, 3, 4, 6, 12.
  • Найбільший спільний дільник (НСД) = 4.
  1. Поділити чисельник і знаменник на НСД (4): 8:4/12:4=2/3

Отже, 8/12 скорочується до 2/3.

Читайте також: Що таке дійсні числа?

Як JustSmart може допомогти підготуватися до НМТ?

JustSmart пропонує ефективні курси підготовки до НМТ-2026, на яких:

  • Діє гарантія вступу на бюджет: ми гарантуємо вступ на бюджет або повертаємо кошти за навчання.
  • Закриваємо всі потреби в підготовці до НМТ:
    • Навчальні вебінари.
    • Консультації з викладачем.
    • Психологічні тренінги.
    • Лайфхаки та рекомендації щодо складання НМТ.

З допомогою нашої онлайн-школи ви зрозумієте всі процеси іспиту, напишете якісний мотиваційний лист, будете в курсі всіх новин та нововведень по НМТ та отримаєте консультацію щодо питання, куди краще вступати.

Якщо ви прагнете покращити свої математичні навички, запрошуємо вас на онлайн-курси математики для учнів 1-11 класів! Наші досвідчені викладачі допоможуть вам засвоїти всі аспекти математичних концепцій, зокрема роботу з дійсними числами та дробами, а також попрактикуватися в завданнях формату НМТ на курсі підготовки до НМТ з математики. Не пропустіть можливість підвищити свою математичну грамотність і досягти високого балу в навчанні та на іспитах. Приєднуйтеся також до наших занять англійською для дітей в JustSchool і станьте на шлях до академічного успіху вже сьогодні!

Приклади завдань на НМТ

У коробці лежать не більше, ніж 50 цукерок, які можна порівну розділити між двома або трьома дітьми, але не можна між чотирма. Укажіть, яка найбільша можлива кількість цукерок може лежати в коробці?

Варіанти: А 42, Б 44, В 46, Г 48, Д 50

Пояснення:

  • 36 = 2⋅ 2 ⋅ 3 ⋅ 3 — число ділиться на 4;
  • 40 = 2 ⋅ 2⋅ 2 ⋅ 5  — число ділиться на 4;
  • 42 = 2 ⋅ 3 ⋅ 7 — число ділиться на 2, на 3 і не ділиться на 4.
  • 48 = 2⋅ 2 ⋅2 ⋅2⋅ 3 — число ділиться на 4;
  • 50 = 2 ⋅5 ⋅5 —  число не ділиться на 3.

Отже, відповідь А 42.

Поміркуймо: задачі для самостійного розв’язання

  • 2/5 + 1/3
  • 6/10 – 2/5
  • 2/7 ⋅ 3/5
  • 5/9 : 10/3
  • 2 1/3 : 21/3

Читайте також: Як зрозуміти та вивчити математику

Розуміння і вміння працювати з дробами сприяє розвитку математичної грамотності та логічного мислення, що є корисним у багатьох сферах життя, від базових фінансових розрахунків до складних наукових досліджень. Опанування цих навичок є важливим кроком у математичній освіті кожного учня.

* Відповіді та пояснення до завдань

  • 2/5 + 1/3  = 6/15 + 5/15 = 11/15
  • 6/10 – 2/5 = 6/10 – 4/10 = 2/10
  • 2/7 ⋅ 3/5 = 14/15
  • 5/9 : 10/3 = 1/6
  • 2 1/3 : 21/3 = 1/3
Спробуйте навчання в JustSmart безкоштовно

Читай також