- Що таке многочлен?
- Дії над многочленами
- Розкладання многочлена на множники
- Цікаві факти з теми
- Як JustSmart може допомогти підготуватися до НМТ з математики?
Многочлени — це одна з основних тем в алгебрі, з якою стикаються учні середньої школи. Вони є не лише важливою частиною шкільної програми, але й мають велике значення для підготовки до складання НМТ. Розуміння многочленів та вміння виконувати з ними основні дії, такі як додавання, віднімання, множення та ділення, є необхідним для успішного виконання тестових завдань з математики. Опанування цієї теми дозволяє учням формувати логічне мислення, вчитися працювати з абстрактними поняттями та застосовувати їх у розв’язуванні реальних задач.
У цій статті від нашої онлайн-школи для дітей та підлітків JustSmart розглянемо основні аспекти роботи з многочленами: що це таке, як визначити степінь, як перетворити вираз у многочлен стандартного вигляду та виконувати базові дії з многочленами. Такі знання не лише сприятимуть успішному складанню іспиту, але й допоможуть закласти міцний фундамент для подальшого вивчення математики.
Онлайн-курси підготовки до НМТ-2026 від JustSmart!
- Онлайн-заняття з досвідченими викладачами.
- Унікальні навчальні матеріали.
- Психологічні тренінги та практичні лайфхаки.
Що таке многочлен?
Многочлен – це сума одночленів. Це алгебраїчний вираз, що складається з одного або декількох доданків, де кожен доданок є добутком числа (коефіцієнта) і змінної в певному степені. Наприклад:
- (4x)3+3;
- 2x4+6x2–6;
- 2x4+6x2–6
Кожен доданок у такому виразі називається членом многочлена. Многочлени можуть бути зручним інструментом для опису різноманітних математичних задач і виразів.
Як визначити степінь многочлена
Степенем многочлена стандартного вигляду називають найбільший зі степенів одночленів, що до нього входять.
- 12x6+3x2+1 — многочлен шостого степеня;
- –5x2+12 — многочлен другого степеня.
Важливо: При виконанні різних операцій знання степеня многочлена дозволяє оцінити його “потужність” та особливості поведінки під час виконання таких дій. Це знання буде корисним у старших класах, де учні вивчають складніші функції, що містять многочлени.
Многочлен стандартного вигляду
Многочлен, що є сумою одночленів стандартного вигляду, серед яких немає подібних доданків, називають многочленом стандартного вигляду. Наприклад:
- 4x3y+2xy–8x2y2–4
Зведення подібних доданків
Подібні доданки многочлена називають подібними членами многочлена, а зведення подібних доданків — зведенням подібних членів многочлена. Наприклад:
- 7x2y+8+9xy–5x2y–9=2x2y+9xy–1
Дії над многочленами
Додавання
Сума будь-яких многочленів є многочленом, який зазвичай записують у стандартному вигляді.
Наприклад, додамо 9x2–3x+6i–4x2+4x–5. Для цього запишемо їх суму, потім розкриємо дужки та зведемо подібні доданки:
(9x2–3x+6)+(–4x2+4x–5)=
=9x2–3x+6–4x2+4x–5=
= 9x2–4x2+4x–3x+6–5=5x2+x+1
Віднімання
Різниця будь-яких многочленів є многочленом, який зазвичай записують у стандартному вигляді.
Наприклад, від многочлена 6x2–7x+4 віднімемо многочлен 2x2–9x–4. Для цього запишемо їх різницю, потім розкриємо дужки та зведемо подібні доданки:
(6x2–7x+4)–(2x2–9x–4)=6x2–7x+4–2x2+9x+4
6x2–2x2+9x–7x+4+4=4x2+2x+8
Множення многочлена на число
Щоб помножити число на многочлен, треба помножити це число на кожний член многочлена і знайдені добутки додати. Наприклад:
5(3x5+6x3–6)=5⋅3x5+5⋅6x3+5⋅(–6)=15x5+30x3–30
Множення одночлена на многочлен
Щоб помножити одночлен на многочлен, треба помножити цей одночлен на кожний член многочлена і знайдені добутки додати. Наприклад:
3x(4x–6)=3x⋅4x–3x⋅6=12x2–18x
Множення многочлена на многочлен
Щоб помножити многочлен на многочлен, треба кожний член одного многочлена помножити на кожний член другого та одержані добутки додати. Наприклад:
(x+y)(z+v)=x⋅z+x⋅v+y⋅z+y⋅v
Розкладання многочлена на множники
Винесення спільного множника за дужки
Розкладання многочлена на множники означає представлення його у вигляді добутку одного або кількох многочленів, так щоб цей добуток був тотожний початковому многочлену. Іншими словами, це перетворення виразу на множники, які при перемноженні дадуть вихідний многочлен.
Цей спосіб називається винесення спільного множника за дужки. Наприклад:
5x–5y=5(x–y)
x3+3x2=x2(x+3)
Використання формул скороченого множення

Метод групування
Для розкладання многочлена на множники способом групування варто виконувати дії у такій послідовності:
- розбити многочлен на групи доданків, кожна з яких містить спільний множник;
- з кожної групи винести спільний множник за дужки;
- спільний для всіх груп множник, що утворився, винести за дужки.
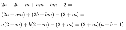
Наприклад:


Отже, многочлени — це невіддільна частина шкільного курсу математики, що закладає фундамент для подальших обчислень у старших класах і навіть у вищій освіті. Також знання та розуміння цієї теми допомагають учням успішно складати НМТ, адже багато задач потребують вміння працювати з алгебраїчними виразами.
Читайте також: Що таке одночлен, та як виглядає одночлен стандартного вигляду?
Цікаві факти з теми
Природні явища
У реальному житті многочлени використовуються для опису різних природних явищ. Наприклад, вони застосовуються в фізиці для опису руху об’єктів під дією сили тяжіння.
Криптографія
Многочлени також грають важливу роль у шифруванні інформації. Поліноміальні коди використовуються для шифрування даних і перевірки помилок при передачі інформації по каналах зв’язку. Це означає, що поняття, які ми вивчаємо в школі, можуть виявитися корисними для захисту секретних даних!
Графіка
Криві, що описуються многочленами, широко використовуються в комп’ютерній графіці. Зокрема, криві Безьє допомагають створювати плавні лінії та фігури, які можна побачити в комп’ютерній анімації, цифровому дизайні та навіть шрифтах.
Завдання для самостійного опрацювання
- Розкрий дужки та спрости вираз
(x+3)(x+2)
- Розкрий дужки та спрости вираз
–5x2(x–1)(2–x)
- Розклади на множники
(x+6)(2x–2)–(x+6)(x+4)
- Розв’яжи рівняння
3x(x+5)–9(x+5)=0
- Виконай множення та увідповідни
А. (x–2)(x+3)
Б. (x–2)(x–3)
В. (x+2)(x+3)
Г. (x+3)(x–3)
1. x2 –5x+6
2. x2+x–6
3. x2–9
4. x2+5x+6
Як JustSmart може допомогти підготуватися до НМТ з математики?
Щоб підготуватися до НМТ і глибше зрозуміти тему, радимо курси підготовки до НМТ-2026, на яких:
- Діє гарантія вступу: ми гарантуємо вступ на бюджет або ж повертаємо повну вартість навчання.
- Охоплюємо всі аспекти підготовки до тесту:
- Предметні вебінари з викладачем.
- Консультації з розбором усіх питань.
- Регулярні психологічні тренінги.
- Лайфхаки та поради для складання НМТ на максимум.
Також пропонуємо пройти тести НМТ з математики для перевірки рівня знань уже зараз.
А на курсах математики для дітей 1-11 класів наші викладачі закладають ґрунтовну базу знань учнів, готуючи їх до майбутніх навчальних викликів. Підберіть свого репетитора математики онлайн — і перетворіть уроки на цікаві зустрічі з розумінням. Уроки проходять у відеоформаті, з можливістю перегляду матеріалу та закріплення знань. Ви отримаєте не лише допомогу з домашніми завданнями, а й системну роботу над логікою, задачами та впевненістю. Усе це — у вас під рукою, на будь-якому пристрої.
І для тих, хто прагне розширити свої мовні навички, у нас є курс англійської для дітей у JustSchool.
Читайте також: Що таке степінь числа та властивості степеня?
*Відповіді до завдань для самостійного опрацювання
- x2+5x+6
- 5x4–15x3+10x2
- (x+6)(x–6)
- x1=–5; x2=3
- 1Б, 2А, 3Г, 4В
Усі статті
Для підлітків
Підготовка до НМТ
Статті про Roblox
Уроки математики
АвторОлександра Ляшенко