- Що таке одночлен?
- Одночлен стандартного вигляду
- Основні дії з одночленами
- Як JustSmart може допомогти підготуватися до НМТ з математики?
Тема “Одночлени та дії з ними” є однією з базових і важливих у курсі алгебри 7 класу. Саме на цьому етапі учні вперше знайомляться з алгебраїчними виразами, вчаться їх розпізнавати, спрощувати та виконувати з ними різні математичні операції. Це не лише фундамент для подальшого вивчення математики в старших класах, але й важливий матеріал для підготовки до НМТ з математики. Розуміння одночленів та вміння працювати з ними допоможе не лише успішно скласти тест, а й розвинути логічне мислення та математичну грамотність. У цій статті розглянемо основні поняття, правила та дії з одночленами.
Що таке одночлен?
Одночлен – це алгебраїчний вираз, який є добутком числового коефіцієнта та однієї або кількох змінних, кожна з яких може підноситися до певного натурального степеня.
Одночлени – це найпростіші алгебраїчні вирази, які широко використовуються у багатьох математичних обчисленнях.
Приклади одночленів:
- 5x
- −3a2b
Онлайн-курси підготовки до НМТ-2026 від JustSmart!
- Онлайн-заняття з досвідченими викладачами.
- Унікальні навчальні матеріали.
- Психологічні тренінги та практичні лайфхаки.
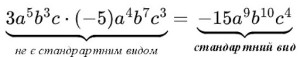
Одночлен стандартного вигляду
Одночлени можуть бути представлені у різних формах, але для зручності їх часто записують у стандартному вигляді.
Одночлени стандартного вигляду – це одночлени, у яких спочатку записується числовий коефіцієнт, а потім змінні в алфавітному порядку з відповідними степенями. Одна буква може входити лише один раз:

Наприклад:
- 6xy – стандартний вигляд одночлена.
- −2ab3 – стандартний вигляд.
Якщо у виразі є множники, які можна спростити, то їх необхідно об’єднати. Наприклад, 2x⋅3=6x.
Коефіцієнт одночлена – це число, яке стоїть попереду букв у одночлена стандартного виду: -15a9b10c4
Степінь одночлена – це сума степенів усіх букв, що входять до одночлена.

Подібними називаються одночлени, у яких однакові буквені частини:

Основні дії з одночленами
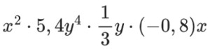
1. Множення одночленів
Щоб перемножити одночлени, необхідно перемножити їх числові коефіцієнти та змінні та додати показники степенів відповідних змінних
Приклад:(2x2)⋅(3x3)=6x2+3=6x5
2. Додавання та віднімання одночленів
Додавати або віднімати можна лише ті одночлени, які мають однакові змінні з однаковими степенями.
Приклад: 3x2+5x2=8x2
Якщо змінні або їхні степені не збігаються, додавання чи віднімання неможливе.
3. Піднесення одночлена до степеня
Щоб піднести одночлен до степеня, потрібно піднести числовий коефіцієнт та кожну змінну одночлена до цього степеня.
Приклад: (2x3)2=22⋅(x3)2=4x6
4. Множення одночлена на многочлен
При множенні одночлена на многочлен, кожен член многочлена множиться на одночлен.
Приклад: 3x⋅(x2+2x+1)=3x3+6x2+3x

Отже, робота з одночленами є основою для багатьох алгебраїчних обчислень. Вивчивши правила виконання дій з ними, ви зможете спростити складні вирази та розв’язувати різноманітні задачі. Практика у використанні цих навичок сприятиме впевненому оперуванню алгебраїчними виразами в майбутньому.
Завдання для самостійного опрацювання
1. Чому дорівнює степінь одночлена: 5a2bc5?
А. 5
Б. 6
В. 7
Г. 8
2. Назви коефіцієнт одночлена

А. 0,6
Б. 11
В. 12
3. Укажи стандартний вигляд одночлена

А. –1,44x3y5
Б. –1,8x2y5⋅0,8x
В. 1,44x3y5
Г. –1,44x2y4
Як JustSmart може допомогти підготуватися до НМТ з математики?
Онлайн-школа JustSmart пропонує ефективні курси підготовки до НМТ-2026, де:
- Діє гарантія вступу: ми гарантуємо вступ на бюджет або ж повертаємо повну вартість навчання.
- Охоплюємо всі аспекти підготовки до тесту:
– Предметні вебінари з викладачем.
– Консультації з розбором усіх питань.
– Регулярні психологічні тренінги.
– Лайфхаки та поради для складання НМТ на максимум.
Також наші висококваліфіковані викладачі допоможуть розібратися у всіх деталях іспиту, розкажуть, як написати справді хороші мотиваційні листи та бути в курсі всіх змін тестування. І найважливіше — ми надаємо консультацію щодо вибору найкращого закладу вищої освіти.
Також пропонуємо курси математики для учнів 1-11 класів. На цих заняттях наші викладачі формують надійну базу знань учнів та готують їх до майбутніх навчальних труднощів.
А на заняттях англійської для дітей у JustSchool завдяки інтерактивному та індивідуальному підходу, зручному графіку занять та сучасним матеріалам учні можуть цікаво й легко вивчати англійську мову.
*Відповіді до завдань для самостійного опрацювання
1. Г
2. А
3. А
Усі статті
Для підлітків
Підготовка до НМТ
Статті про Roblox
Уроки математики
АвторОлександра Ляшенко