- Формули НМТ з математики
- Формули з геометрії для НМТ з математики
- Як працювати з формулами з математики на НМТ
- Алгебра: приховані лайфхаки для формул НМТ
- Геометрія та тригонометрія: як не втратити легкі бали на НМТ
- Техніки пам’яті для формул
- План підготовки до НМТ з математики від JustSmart
Під час НМТ немає розкоші довго думати: у вас у середньому менше ніж 2 хвилини на завдання. Тут і стає зрозуміло: формула — це не сухий запис із підручника, а «компас», який миттєво вказує правильний напрямок.
Історичний факт: сам Альберт Ейнштейн любив повторювати, що не варто тримати в голові те, що можна подивитися у книжці. Але на тесті Google немає. І тоді пам’ять стає вашим єдиним «хмарним сховищем». Додатково варто пам’ятати про наступну ситуацію: коли ви під стресом, ваш мозок працює в режимі «економії». І якщо формула добре «вбудована» в пам’ять, вона спливає автоматично, знімаючи навантаження. Хто володіє нею — той володіє часом.
Онлайн-курси підготовки до НМТ-2026 від JustSmart!
- Онлайн-заняття з досвідченими викладачами.
- Унікальні навчальні матеріали.
- Психологічні тренінги та практичні лайфхаки.
Для перевірки власної готовності спробуйте пройти короткі тести НМТ з математики на JustSmart — там формат максимально наближений до реального, і ви одразу відчуєте, як швидко формули «оживають» у практиці.
Формули НМТ з математики
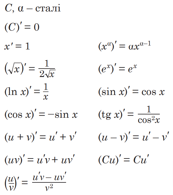
Щоб упевнено скласти НМТ з математики, потрібно знати основні формули та вміти їх застосовувати. Нижче подано перелік найважливіших формул, які допоможуть швидко розв’язувати завдання.
- Таблиця квадратів від 10 до 49
Дозволяє швидко рахувати без калькулятора та економити час.

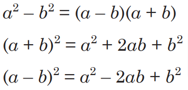
- Формули скороченого множення
Спрощують вирази та прискорюють обчислення.

- Квадратне рівняння
Універсальний інструмент для розв’язування задач з алгебри, фізики та економіки.

- Модуль числа
Потрібний для роботи з відстанями, рівняннями та нерівностями.

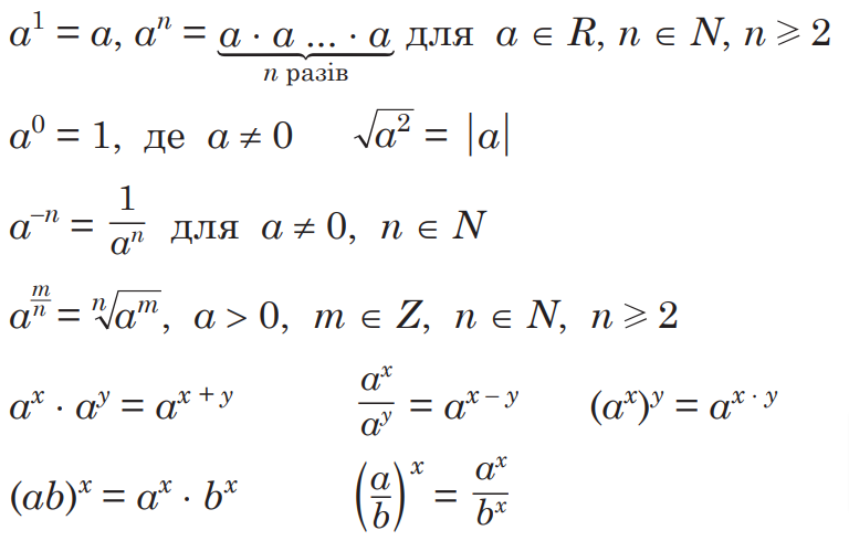
- Степені
Незамінні при розв’язуванні рівнянь в алгебрі та фізиці та задач з експоненційними залежностями.

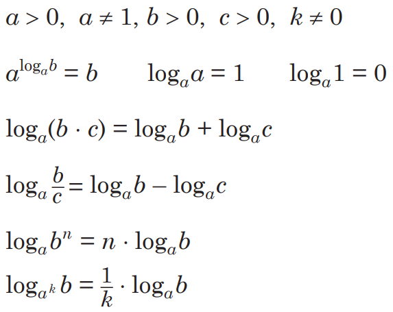
- Логарифми
Застосовуються для розв’язання задач з експоненційними залежностями, зокрема у фінансових розрахунках та біологічних процесах.

- Арифметична прогресія
Використовується у фінансових та практичних розрахунках.

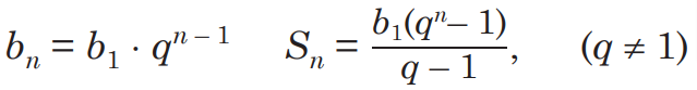
- Геометрична прогресія
Допомагає розв’язувати задачі на зростання чи спадання величин.

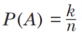
- Теорія ймовірностей
Дає можливість визначати ймовірність подій, що має значення як у статистиці, так і в повсякденних ситуаціях.

- Комбінаторика
Дозволяє знаходити кількість можливих варіантів у задачах на підрахунок розміщень та комбінацій.

- Похідна функції
Застосовується для дослідження змінних величин у фізиці, економіці та багатьох інших науках.

- Первісні функції та визначений інтеграл
Потрібні для обчислення площ, об’ємів і дослідження складних функцій.

- Тригонометрія
Застосовується в геометрії, фізиці, будівництві та навігації.

- Таблиця значень тригонометричних функцій деяких кутів
Дає змогу оперативно визначати значення без виконання складних обчислень.

Формули з геометрії для НМТ з математики
Потрібні для розуміння властивостей геометричних фігур.
- Трикутники
Основна фігура геометрії, яка має широке застосування в різних наукових і практичних сферах.
- Довільний трикутник
Використовується для обчислення площі, сторін і кутів геометричних фігур у просторі.

- Прямокутний трикутник
Основний об’єкт у тригонометрії, що має велике значення у фізиці та технічних науках.

- Чотирикутники
Застосовуються для обчислення площ та створення складних геометричних і технічних конструкцій.
- Паралелограм
Використовується у фізиці для визначення сил і опису руху тіл.

- Прямокутник
Базова фігура, що широко використовується для обчислення площ і об’ємів у різних задачах.

- Ромб
Застосовується у задачах, пов’язаних із симетрією та знаходженням площі.

- Трапеція
Використовується для обчислення площі складних багатокутників та розв’язування геометричних задач.

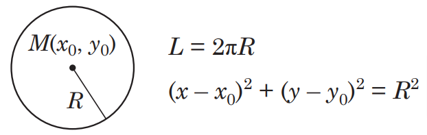
- Коло
Використовується в математиці, фізиці, механіці та технічних розрахунках.

- Круг
Застосовується для обчислення площ та об’ємів у практичних задачах.

Об’ємні фігури та тіла
- Пряма призма
Основна геометрична фігура, що використовується для обчислення об’ємів та площ поверхонь.

- Правильна піраміда
Застосовується в архітектурі, будівництві та геометричних розрахунках.

- Циліндр
Одна з найпоширеніших форм у техніці, що використовується для обчислення об’ємів і площ поверхонь.

- Конус
Застосовується для обчислення об’ємів, розв’язування задач на перспективу та математичного моделювання.

- Куля, сфера
Застосовується в астрономії, фізиці, геометрії та інженерії.

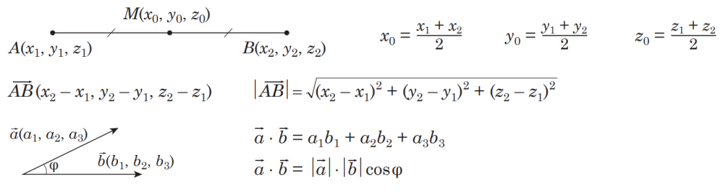
Координати та вектори
Застосовуються у фізиці, програмуванні та комп’ютерній графіці для опису руху й просторових перетворень.

Не варто зубрити десятки довідників. Учні, які повторювали «ядро з 20 формул» щодня протягом місяця, на практичних тестах показували результат на 18–22% вищий, ніж ті, хто вчив хаотично. Це доводить: стратегія важливіша за кількість годин.
Як працювати з формулами з математики на НМТ
Кластеризація
Замість того щоб вчити формули вроздріб, об’єднуйте їх у тематичні блоки:
- Алгебра – степені, логарифми, квадратне рівняння, модуль, похідні, інтеграли.
- Геометрія – трикутники, чотирикутники, коло, стереометричні тіла.
- Прогресії – арифметична та геометрична.
Коли мозок бачить «сім’ю формул», він швидше знаходить зв’язки між ними, і знання стають більш системними.
Мнемотехніка
Придумуйте прості асоціації для запам’ятовування.
Наприклад:
- Формула площі кола S = πr² → уявіть «піцу», де π – це «пі», а r² – радіус, який «розширює» піцу.
- Для арифметичної прогресії an = a1 + (n – 1)d → можна уявити «поїзд», де перший вагон – a1, а кожен наступний рухається з «кроком d».
Тестування
Не обмежуйтесь пасивним читанням. Придумайте чи розв’яжіть приклад на застосування формули.
Наприклад, замість того щоб просто вивчити (a + b)² = a² + 2ab + b², спробуйте підставити числа: (3 + 4)² = 9 + 24 + 16 = 49. Таке активне використання допомагає закріпити знання у 2–3 рази швидше.
Візуалізація
Створіть зручні «шпаргалки»:
- Таблиці з формулами й прикладами.
- Картки: з одного боку – назва або малюнок, з іншого – формула.
- Ментальні карти – коли від головної теми відходять гілки з підтеми та формули.
Ці візуальні інструменти роблять навчання більш наочним і легким для сприйняття. Ось приклад візуалізації з принципами застосування та лайфхаками для запам’ятовування.



Алгебра: приховані лайфхаки для формул НМТ
Алгебра — це серце НМТ. Тут легко втратити час на банальному рівнянні, якщо не знати кілька «коротких стежок».
Вієт + похідні формули: якщо ви знаєте суму й добуток коренів, то знаходите вирази типу (x_1)^2+(x_2)^2 без жодних коренів — економія до 40 секунд.
Формула для різниці кубів — люблять підкидати у вигляді підступних спрощень.
Для тренування таких речей зручно користуватись додатками типу MathBrain — щодня 5 хвилин «математичних ігор» дають той самий ефект, що й 30 хв класичних вправ. Коли ви розв’язуєте задачу одним трюком (наприклад, через Вієта чи різницю квадратів), мозок отримує дофаміновий «плюс». Це знижує тривожність і підвищує впевненість у наступних завданнях.
Геометрія та тригонометрія: як не втратити легкі бали на НМТ
Геометрія для більшості абітурієнтів — як «чорна скринька». Всі розуміють, що без неї не обійтися, але саме тут найчастіше губляться бали. Причина проста: задачі здаються складними, хоча насправді 60–70% рішень базуються на 5–7 формулах.
На практиці більшість абітурієнтів губляться не на складних, а на банальних формулах площ. Під стресом навіть теорема Піфагора «вилітає». Учень починає малювати додаткові висоти й бісектриси, витрачає 3–4 хвилини, замість того щоб одразу пригадати Герона або координатну формулу площі. На тесті це розкіш, яку ви не можете собі дозволити.
Багато хто відчуває тривогу від «геометричних малюнків». Насправді малюнок — це ваш союзник. Якщо швидко намалювати схему, мозок працює з нею як із «карткою пам’яті» й легше пригадує потрібну формулу.
Рішення — робота із симуляціями. Наприклад, на курcах підготовки до НМТ у JustSmart проводять мінімарафони з таймером. Це дозволяє відчути ритм реального іспиту й «вбудувати» потрібні формули у швидке мислення.
Техніки пам’яті для формул
Більшість учнів думає, що формули треба просто зазубрити. Насправді ж мозок влаштований інакше: він краще пам’ятає образи, історії та повторювані патерни. Якщо правильно підійти до процесу, навіть найскладніші формули стають «своїми» й спливають автоматично.
- Метод повторення через ніч
Вивчіть 3–4 нові формули ввечері, повторіть їх вранці — і вони з великою ймовірністю закріпляться у довготривалій пам’яті. Це працює завдяки природному механізму консолідації сну. - Метод loci (Цицерона)
Уявіть будинок, де кожна кімната — це формула. Наприклад, у кухні «живе» Герон із гамбургером (площа трикутника), а у ванній — Піфагор, що малює прямокутник на плитці. Така візуалізація робить запам’ятовування майже ігровим.
Практика: формула-герой у задачі
Задача: знайти площу трикутника з вершинами A(0,0), B(4,0), C(1,3).
Застосовуємо координатну формулу:
План підготовки до НМТ з математики від JustSmart
📌 Тиждень 1 — «скелет»: формули на картках + Anki для флешкарток.
📌 Тиждень 2 — практика: спробуйте пройти пробні тести НМТ з математики. Не бійтеся помилок — вони найкращі вчителі. Порада: робіть невеликі нотатки про типові помилки та формули, які допомагають їх уникнути.
📌 Тиждень 3 — симуляції таймінгу. Проходьте тести з обмеженням часу. Вчіться швидко визначати, які завдання вирішувати одразу, а які залишити на кінець.
📌 Тиждень 4 — повтор + інтеграція асоціацій. Поверніться до флешкарток, пройдіть старі тести, спробуйте завдання зі складних тем.
А щоб зробити підготовку ще результативнішою, вибирай курси підготовки до НМТ. Вони допоможуть структурувати знання, закріпити формули на практиці та навчитися працювати з тестами в умовах обмеженого часу. Ти отримаєш доступ до сучасних навчальних матеріалів, тренувальних тестів і докладних пояснень від досвідчених викладачів.
Математика — лише одна зі складників успішного результату. У нашій онлайн-школі доступні різні напрямки:
- для тих, хто хоче покращити логіку та впевнено працювати з числами, підійдуть онлайн-курси математики;
- для тих, хто прагне вдосконалити мовні навички, є курси англійської для дітей в JustSchool.
Таке поєднання дає можливість підготуватися комплексно, розвивати не тільки математичне мислення, а й мовну компетентність, що стане у пригоді не лише під час НМТ, а й у майбутньому навчанні та житті.
Цифри, які змінюють ставлення до підготовки
- У 2025 році 11,7% учасників не подолали поріг із математики. У 2024 було 14%. Тобто рівень підготовки зростає, але «кожен дев’ятий» усе ще не проходить.
- Математика дає найбільшу кількість 200-бальників серед усіх предметів — і це прямий доказ: системність винагороджується.
- Учні, які займалися з репетитором чи на платформах, щоб паралельно підтягнути англійську термінологію для міжнародних тестів, показували на 30% менший рівень тривожності.
Формули з математики на НМТ — це не тягар, а «шорткоди» для мозку. Ваше завдання — довести їх до автоматизму. А зробити цей процес цікавим допоможуть інструменти: флешкартки, ігри, онлайн-курси, таймери. Головне — будувати систему. І тоді ваші 190+ балів стають не мрією, а очікуваним результатом.
Усі статті
Для підлітків
Підготовка до НМТ
Статті про Roblox
Уроки математики
АвторШабанова Анастасія